Moving constraints feature works in conjunction with the Harmonic Constraints (see an appropriate section of the User's guide). The reference positions of all constraints will move according to
The way the moving constraints work is that the moving reference
position is calculated every integration time step using
Eq. 30, where
is in Å/timestep, and
is the
current timestep (i.e., firstTimestep plus however many
timesteps have passed since the beginning of NAMD run). Therefore,
one should be careful when restarting simulations to appropriately
update the firstTimestep parameter in the NAMD configuration
file or the reference position specified in the reference PDB file.
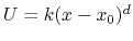
NOTE: NAMD actually calculates the constraints
potential with
and the force with
,
where
is the exponent consexp. The result is that if one
specifies some value for the force constant
in the PDB file,
effectively, the force constant is
in calculations. This caveat
was removed in SMD feature.
The following parameters describe the parameters for the moving harmonic constraint feature of NAMD.