Next: Runtime Analysis
Up: Hybrid MD-Go Simulation
Previous: Configuration file modifications
Contents
Index
When running a Go simulation, the atoms are partitioned into chains according to the occupancy value given in the GoCoordinates file.
For every possible pairwise combination between chains, a Go potential is defined by the following equations:
Let
be the pairwise distance between atoms i and j in the reference structure.
If
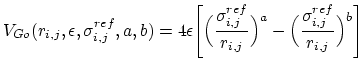
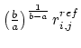
is less than the Go cutoff distance, the pairwise potential between atoms i and j is given by:
where
is given as
.
If
is greater than the Go cutoff distance, the pairwise potential between atoms i and j is given by:
For each pairwise chain combination, the following parameters are needed to define the Go potential:
- chaintypes (2 floats):
(first_chain second_chain) Defines the pairwise chain interaction
- epsilon (1 float):
(
) Determines the
constant of the Go potential in units of
- exp_a (1 integer):
(a) Determines the `a' constant for the Go potential
- exp_b (1 integer):
(b) Determines the `b' constant for the Go potential
- expRep (1 integer):
(expRep) Determines the `expRep' constant for the Go potential
- sigmaRep (1 float):
(
) Determines the
constant for the Go potential in units of
- epsilonRep (1 float):
(
) Determines the
constant for the Go potential in units of
- cutoff (1 float):
(cutoff) Defines the Go cutoff distance for this particular pairwise chain in units of
- [Optional] restriction (1 integer):
Determines if interactions between the
and
adjacent residue should be excluded. Multiple restriction between adjacent residues can be defined within a chaintype.
Each additional new restriction is given on its own line.
Each pairwise chaintype should be written in its own block of text with each entry given its own line.
It is recommended that individual pairwise potential be separated by a blank line.
Next: Runtime Analysis
Up: Hybrid MD-Go Simulation
Previous: Configuration file modifications
Contents
Index
http://www.ks.uiuc.edu/Research/namd/