next up previous contents index
Next: Running SMOG simulations Up: Structure based simulations Previous: Structure based simulations   Contents   Index

Subsections


Hybrid MD-Go Simulation

Hybrid MD-Go model

NAMD incorporates a hybrid MD-Go model (hereby referred to as Go) to study the conformation changes in biomolecular systems. The method replaces the physical-based nonbonded interactions with a smoother knowledge-based potential energy surface. Bonded interactions are taken from the classical force fields. By removing energetic traps along a MD trajectory, the system will be able to sample states not normally accessible to classical MD simulations.

Hybrid MD-Go considerations

Typically, Go simulations are conducted in the absence of solvent and with electrostatic and van der Waals forces in the system turned off to improve conformational space exploration. Due to the current implementation of Go, the partial charges and van der Waals radii need to be set to zero in the psf and parameter file to remove the physical nonbonded interactions. Additionally, NAMD uses a reference PDB structure to construct the Go pairwise potential between atoms.

Finally, the Go model in NAMD introduces the idea of chain types. Consider modeling a protein-nucleic acid complex. Using classical all-atom MD, a single force field describes all possible nonbonded interactions. With Go, however, one can create separate nonbonded force fields to describe the protein and nucleic acid interactions. In order to create separate force fields, atoms are grouped together using chain types where the chain types are taken from the occupancy field of the reference PDB file. For argument sake, assume that the protein atoms have an occupancy value of 1.0 and that the nucleic acid atoms have an occupancy value of 2.0. One now must define three separate Go potentials for intra-protein, intra-nucleic acid, and inter-protein-nucleic acid interactions. In terms of chain types, this corresponds to (1) between atom pairs fully in chain 1, (2) between atom pairs fully in chain 2, (3) between atom pairs where one atom is in chain 1 and the other atom is in chain 2 respectively. To run Go, a minimum of one chain type must be defined.

Configuration file modifications

The following configuration parameters are used to setup and run a Go simulation:

The following sections describe the format of the GoParameter file.

GoParameter format

When running a Go simulation, the atoms are partitioned into chains according to the occupancy value given in the GoCoordinates file. For every possible pairwise combination between chains, a Go potential is defined by the following equations:

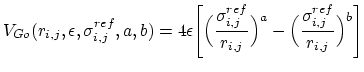
Let $ r^{ref}_{i,j}$ be the pairwise distance between atoms i and j in the reference structure. If $ r^{ref}_{i,j}$ is less than the Go cutoff distance, the pairwise potential between atoms i and j is given by:

$\displaystyle V_{Go}(r_{i,j},\epsilon,\sigma^{ref}_{i,j},a,b)
= 4 \epsilon \Big...
...r_{i,j}} \Bigr)^a
- \Bigl( \frac{\sigma^{ref}_{i,j}} {r_{i,j}} \Bigr)^b \Biggr]$



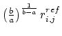
where $ \sigma^{ref}_{i,j}$ is given as $ \left(\frac{b}{a}\right)^{\frac{1}{b-a}}r^{ref}_{i,j}$ . If $ r^{ref}_{i,j}$ is greater than the Go cutoff distance, the pairwise potential between atoms i and j is given by:

$\displaystyle V_{Go}(r_{i,j},\epsilon^{rep},\sigma^{rep},expRep) = 4 \epsilon^{rep} (\frac{\sigma^{rep}_{i,j}}{r_{i,j}})^{expRep}$

For each pairwise chain combination, the following parameters are needed to define the Go potential:

Each pairwise chaintype should be written in its own block of text with each entry given its own line. It is recommended that individual pairwise potential be separated by a blank line.


next up previous contents index
Next: Running SMOG simulations Up: Structure based simulations Previous: Structure based simulations   Contents   Index
http://www.ks.uiuc.edu/Research/namd/