Next: Selecting atoms
 Up: Collective Variable-based Calculations (Colvars)
 Previous: General parameters
     Contents 
     Index 
Subsections
Defining collective variables
A collective variable is defined by the keyword colvar followed by its configuration options contained within curly braces:
colvar {
  name xi
  
other options
  function_name {
    
parameters
    
atom selection
  }
}
There are multiple ways of defining a variable:
- The simplest and most common way way is using one of the precompiled functions (here called ``components''), which are listed in section 9.3.1.  For example, using the keyword rmsd (section 9.3.1) defines the variable as the root mean squared deviation (RMSD) of the selected atoms.
 
- A new variable may also be constructed as a linear or polynomial combination of the components listed in section 9.3.1 (see 9.3.5 for details).
 
- A user-defined mathematical function of the existing components (see list in section 9.3.1), or of the atomic coordinates directly (see the cartesian keyword in 9.3.1).
The function is defined through the keyword customFunction (see 9.3.6) (see 9.3.6 for details).
 
- A user-defined Tcl function of the existing components (see list in section 9.3.1), or of the atomic coordinates directly (see the cartesian keyword in 9.3.1).
The function is provided by a separate Tcl script, and referenced through the keyword scriptedFunction (see 9.3.7) (see 9.3.7 for details).
 
Choosing a component (function) is the only parameter strictly required to define a collective variable.
It is also highly recommended to specify a name for the variable:
-   name  
 Name of this colvar 
  
Context:  colvar 
Acceptable Values:  string 
Default Value:  ``colvar'' + numeric id 
Description:  The name is an unique case-sensitive string which allows the
    Colvars module to identify this colvar unambiguously; it is also
    used in the trajectory file to label to the columns corresponding
    to this colvar.
 
Choosing a function
In this context, the function that computes a colvar is called a component.
A component's choice and definition consists of including in the variable's configuration a keyword indicating the type of function (e.g. rmsd), followed by a definition block specifying the atoms involved (see 9.4) and any additional parameters (cutoffs, ``reference'' values, ...).
At least one component must be chosen to define a variable: if none of the keywords listed below is found, an error is raised.
The following components implement functions with a scalar value (i.e. a real number):
- distance (see 9.3.1): distance between two groups;
 
- distanceZ (see 9.3.1): projection of a distance vector on an axis;
 
- distanceXY (see 9.3.1): projection of a distance vector on a plane;
 
- distanceInv (see 9.3.1): mean distance between two groups of atoms (e.g. NOE-based distance);
 
- angle (see 9.3.1): angle between three groups;
 
- dihedral (see 9.3.1): torsional (dihedral) angle between four groups;
 
- dipoleAngle (see 9.3.1): angle between two groups and dipole of a third group;
 
- polarTheta (see 9.3.1): polar angle of a group in spherical coordinates;
 
- polarPhi (see 9.3.1): azimuthal angle of a group in spherical coordinates;
 
- coordNum (see 9.3.1): coordination number between two groups;
 
- selfCoordNum (see 9.3.1): coordination number of atoms within a
  group;
 
- hBond (see 9.3.1): hydrogen bond between two atoms;
 
- rmsd (see 9.3.1): root mean square deviation (RMSD) from a set of
  reference coordinates;
 
- eigenvector (see 9.3.1): projection of the atomic coordinates on a
  vector;
 
- orientationAngle (see 9.3.1): angle of the best-fit rotation from
  a set of reference coordinates;
 
- orientationProj (see 9.3.1): cosine of orientationProj (see 9.3.1);
 
- spinAngle (see 9.3.1): projection orthogonal to an axis of the best-fit rotation
  from a set of reference coordinates;
 
- tilt (see 9.3.1): projection on an axis of the best-fit rotation
  from a set of reference coordinates;
 
- gyration (see 9.3.1): radius of gyration of a group of atoms;
 
- inertia (see 9.3.1): moment of inertia of a group of atoms;
 
- inertiaZ (see 9.3.1): moment of inertia of a group of atoms around a chosen axis;
 
- alpha (see 9.3.1): 
-helix content of a protein segment.
 
- dihedralPC (see 9.3.1): projection of protein backbone dihedrals onto a dihedral principal component.
 
Some components do not return scalar, but vector values:
- distanceVec (see 9.3.1): distance vector between two groups (length: 3);
 
- distanceDir (see 9.3.1): unit vector parallel to distanceVec (length: 3);
 
- cartesian (see 9.3.1): vector of atomic Cartesian coordinates (length: 
 times the number of Cartesian components requested, X, Y or Z);
 
- distancePairs (see 9.3.1): vector of mutual distances (length: 
);
 
- orientation (see 9.3.1): best-fit rotation, expressed as a unit quaternion (length: 4).
 
The types of components used in a colvar (scalar or not) determine the
properties of that colvar, and particularly which biasing or analysis methods
can be applied.
What if ``X'' is not listed? If a function type is not available on this list, it may be possible to define it as a polynomial superposition of existing ones (see 9.3.5), a custom function (see 9.3.6), or a scripted function (see 9.3.7).
In the rest of this section, all available component types are listed, along with their physical units and the ranges of values, if limited.
Such limiting values can be used to define lowerBoundary (see 9.3.8) and upperBoundary (see 9.3.8) in the parent colvar.
For each type of component, the available configurations keywords are listed:
when two components share certain keywords, the second component references to
the documentation of the first one that uses that keyword.
The very few keywords that are available for all types of components are listed in a separate section 9.3.2.
distance: center-of-mass distance between two groups.
The distance {...} block defines a distance component between the two atom groups, group1 and group2.
List of keywords (see also 9.3.5 for additional options):
  
-   group1  
 First group of atoms 
  
Context:  distance 
Acceptable Values:  Block group1 {...} 
Description:  First group of atoms.
 
-   
  group2: analogous to group1
 
-   forceNoPBC  
 Calculate absolute rather than minimum-image distance? 
  
Context:  distance 
Acceptable Values:  boolean 
Default Value:  no 
Description:  By default, in calculations with periodic boundary conditions, the
    distance component returns the distance according to the
    minimum-image convention. If this parameter is set to yes,
    PBC will be ignored and the distance between the coordinates as maintained
    internally will be used. This is only useful in a limited number of
    special cases, e.g. to describe the distance between remote points
    of a single macromolecule, which cannot be split across periodic cell
    boundaries, and for which the minimum-image distance might give the
    wrong result because of a relatively small periodic cell.
 
-   oneSiteTotalForce  
 Measure total force on group 1 only? 
  
Context:  angle, dipoleAngle, dihedral 
Acceptable Values:  boolean 
Default Value:  no 
Description:  If this is set to yes, the total force is measured along
    a vector field (see equation (53) in
    section 9.5.1) that only involves atoms of
    group1.  This option is only useful for ABF, or custom
    biases that compute total forces.  See
    section 9.5.1 for details.
 
The value returned is a positive number (in Å), ranging from 0
to the largest possible interatomic distance within the chosen
boundary conditions (with PBCs, the minimum image convention is used
unless the forceNoPBC option is set).
distanceZ: projection of a distance vector on an axis.
The distanceZ {...} block defines a distance projection
component, which can be seen as measuring the distance between two
groups projected onto an axis, or the position of a group along such
an axis.  The axis can be defined using either one reference group and
a constant vector, or dynamically based on two reference groups.
One of the groups can be set to a dummy atom to allow the use of an absolute Cartesian coordinate.
List of keywords (see also 9.3.5 for additional options):
  
This component returns a number (in Å) whose range is determined
by the chosen boundary conditions.  For instance, if the 
 axis is
used in a simulation with periodic boundaries, the returned value ranges
between 
 and 
, where 
 is the box length
along 
 (this behavior is disabled if forceNoPBC is set).
distanceXY: modulus of the projection of a distance vector on a plane.
The distanceXY {...} block defines a distance projected on
a plane, and accepts the same keywords as the component distanceZ, i.e.
main, ref, either ref2 or axis,
and oneSiteTotalForce.  It returns the norm of the
projection of the distance vector between main and
ref onto the plane orthogonal to the axis.  The axis is
defined using the axis parameter or as the vector joining
ref and ref2 (see distanceZ above).
List of keywords (see also 9.3.5 for additional options):
  
- 
  main: see definition of main in sec. 9.3.1 (distanceZ component)
 
- 
  ref: see definition of ref in sec. 9.3.1 (distanceZ component)
 
- 
  ref2: see definition of ref2 in sec. 9.3.1 (distanceZ component)
 
- 
  axis: see definition of axis in sec. 9.3.1 (distanceZ component)
 
- 
  forceNoPBC: see definition of forceNoPBC in sec. 9.3.1 (distance component)
 
- 
  oneSiteTotalForce: see definition of oneSiteTotalForce in sec. 9.3.1 (distance component)
  
 
distanceVec: distance vector  between two groups.
The distanceVec {...} block defines
a distance vector component, which accepts the same keywords as
the component distance: group1, group2, and
forceNoPBC. Its value is the 3-vector joining the centers
of mass of group1 and group2.
List of keywords (see also 9.3.5 for additional options):
  
- 
  group1: see definition of group1 in sec. 9.3.1 (distance component)
 
- 
  group2: analogous to group1
 
- 
  forceNoPBC: see definition of forceNoPBC in sec. 9.3.1 (distance component)
 
- 
  oneSiteTotalForce: see definition of oneSiteTotalForce in sec. 9.3.1 (distance component)
  
 
distanceDir: distance unit vector between two groups.
The distanceDir {...} block defines
a distance unit vector component, which accepts the same keywords as
the component distance: group1, group2, and
forceNoPBC.  It returns a
3-dimensional unit vector 
, with
.
List of keywords (see also 9.3.5 for additional options):
  
- 
  group1: see definition of group1 in sec. 9.3.1 (distance component)
 
- 
  group2: analogous to group1
 
- 
  forceNoPBC: see definition of forceNoPBC in sec. 9.3.1 (distance component)
 
- 
  oneSiteTotalForce: see definition of oneSiteTotalForce in sec. 9.3.1 (distance component)
  
 
distanceInv: mean distance between two groups of atoms.
The distanceInv {...} block defines a generalized mean distance between two groups of atoms 1 and 2, weighted with exponent 
:
![$\displaystyle d_{\mathrm{1,2}}^{[n]} \; = \; \left(\frac{1}{N_{\mathrm{1}}N_{\m...
...}\sum_{i,j} \left(\frac{1}{\Vert\mathbf{d}^{ij}\Vert}\right)^{n} \right)^{-1/n}$](img286.png)  | 
(36) | 
 
where 
 is the distance between atoms 
 and 
 in groups 1 and 2 respectively, and 
 is an even integer.
List of keywords (see also 9.3.5 for additional options):
  
- 
  group1: see definition of group1 in sec. 9.3.1 (distance component)
 
- 
  group2: analogous to group1
 
- 
  oneSiteTotalForce: see definition of oneSiteTotalForce in sec. 9.3.1 (distance component)
 
- exponent  
 Exponent 
 in equation 36 
  
Context:  distanceInv 
Acceptable Values:  positive even integer 
Default Value:  6 
Description:  Defines the exponent to which the individual distances are elevated before averaging.  The default value of 6 is useful for example to applying restraints based on NOE-measured distances.
  
 
This component returns a number in Å, ranging from 0
 to the largest possible distance within the chosen boundary conditions.
distancePairs: set of pairwise distances between two groups.
The distancePairs {...} block defines a 
-dimensional variable that includes all mutual distances between the atoms of two groups.
This can be useful, for example, to develop a new variable defined over two groups, by using the scriptedFunction feature.
List of keywords (see also 9.3.5 for additional options):
  
- 
  group1: see definition of group1 in sec. 9.3.1 (distance component)
 
- 
  group2: analogous to group1
 
- 
  forceNoPBC: see definition of forceNoPBC in sec. 9.3.1 (distance component)
  
 
This component returns a 
-dimensional vector of numbers, each ranging from 0
 to the largest possible distance within the chosen boundary conditions.
cartesian: vector of atomic Cartesian coordinates.
The cartesian {...} block defines a component returning a flat vector containing
the Cartesian coordinates of all participating atoms, in the order
.
List of keywords (see also 9.3.5 for additional options):
  
- atoms  
 Group of atoms 
  
Context:  cartesian 
Acceptable Values:  Block atoms {...} 
Description:  Defines the atoms whose coordinates make up the value of the component.
    If rotateReference or centerReference are defined, coordinates
    are evaluated within the moving frame of reference.
  
 
angle: angle between three groups.
The angle {...} block defines an angle, and contains the
three blocks group1, group2 and group3, defining
the three groups.  It returns an angle (in degrees) within the
interval 
.
List of keywords (see also 9.3.5 for additional options):
  
- 
  group1: see definition of group1 in sec. 9.3.1 (distance component)
 
- 
  group2: analogous to group1
 
- 
  group3: analogous to group1
 
- 
  forceNoPBC: see definition of forceNoPBC in sec. 9.3.1 (distance component)
 
- 
  oneSiteTotalForce: see definition of oneSiteTotalForce in sec. 9.3.1 (distance component)
  
 
dipoleAngle: angle between two groups and dipole of a third group.
The dipoleAngle {...} block defines an angle, and contains the
three blocks group1, group2 and group3, defining
the three groups, being group1 the group where dipole is calculated. 
It returns an angle (in degrees) within the interval 
.
List of keywords (see also 9.3.5 for additional options):
  
- 
  group1: see definition of group1 in sec. 9.3.1 (distance component)
 
- 
  group2: analogous to group1
 
- 
  group3: analogous to group1
 
- 
  forceNoPBC: see definition of forceNoPBC in sec. 9.3.1 (distance component)
 
- 
  oneSiteTotalForce: see definition of oneSiteTotalForce in sec. 9.3.1 (distance component)
  
 
dihedral: torsional angle between four groups.
The dihedral {...} block defines a torsional angle, and
contains the blocks group1, group2, group3
and group4, defining the four groups.  It returns an angle
(in degrees) within the interval 
.  The Colvars module
calculates all the distances between two angles taking into account
periodicity.  For instance, reference values for restraints or range
boundaries can be defined by using any real number of choice.
List of keywords (see also 9.3.5 for additional options):
  
- 
  group1: see definition of group1 in sec. 9.3.1 (distance component)
 
- 
  group2: analogous to group1
 
- 
  group3: analogous to group1
 
- 
  group4: analogous to group1
 
- 
  forceNoPBC: see definition of forceNoPBC in sec. 9.3.1 (distance component)
 
- 
  oneSiteTotalForce: see definition of oneSiteTotalForce in sec. 9.3.1 (distance component)
  
 
polarTheta: polar angle in spherical coordinates.
The polarTheta {...} block defines the polar angle in
spherical coordinates, for the center of mass of a group of atoms 
described by the block atoms.  It returns an angle
(in degrees) within the interval 
.
To obtain spherical coordinates in a frame of reference tied to
another group of atoms, use the fittingGroup (9.4.2) option
within the atoms block.
An example is provided in file examples/11_polar_angles.in of the Colvars public repository.
List of keywords (see also 9.3.5 for additional options):
  
-   atoms  
 Atom group 
  
Context:  polarPhi 
Acceptable Values:  atoms {...} block 
Description:  Defines the group of atoms for the COM of which the angle should be calculated.
    
  
 
polarPhi: azimuthal angle in spherical coordinates.
The polarPhi {...} block defines the azimuthal angle in
spherical coordinates, for the center of mass of a group of atoms 
described by the block atoms. It returns an angle
(in degrees) within the interval 
.  The Colvars module
calculates all the distances between two angles taking into account
periodicity.  For instance, reference values for restraints or range
boundaries can be defined by using any real number of choice.
To obtain spherical coordinates in a frame of reference tied to
another group of atoms, use the fittingGroup (9.4.2) option
within the atoms block.
An example is provided in file examples/11_polar_angles.in of the Colvars public repository.
List of keywords (see also 9.3.5 for additional options):
  
-   atoms  
 Atom group 
  
Context:  polarPhi 
Acceptable Values:  atoms {...} block 
Description:  Defines the group of atoms for the COM of which the angle should be calculated.
    
  
 
coordNum: coordination number between two groups.
The coordNum {...} block defines
a coordination number (or number of contacts), which calculates the
function 
, where 
 is the
``cutoff'' distance, and 
 and 
 are exponents that can control
its long range behavior and stiffness [45].  This
function is summed over all pairs of atoms in group1 and
group2:
  | 
(37) | 
 
List of keywords (see also 9.3.5 for additional options):
  
-   
  group1: see definition of group1 in sec. 9.3.1 (distance component)
 
-   
  group2: analogous to group1
 
-   cutoff  
 ``Interaction'' distance (Å) 
  
Context:  coordNum 
Acceptable Values:  positive decimal 
Default Value:  4.0 
Description:  This number defines the switching distance to define an
    interatomic contact: for 
, the switching function
    
 is close to 1, at 
 it
    has a value of 
 (
 with the default 
 and 
), and at
    
 it goes to zero approximately like 
.  Hence,
    for a proper behavior, 
 must be larger than 
.
 
-   cutoff3  
 Reference distance vector (Å) 
  
Context:  coordNum 
Acceptable Values:  ``(x, y, z)'' triplet of positive decimals 
Default Value:  (4.0, 4.0, 4.0) 
Description:  The three components of this vector define three different cutoffs
    
 for each direction.  This option is mutually exclusive with
    cutoff.
 
-   expNumer  
 Numerator exponent 
  
Context:  coordNum 
Acceptable Values:  positive even integer 
Default Value:  6 
Description:  This number defines the 
 exponent for the switching function.
 
-   expDenom  
 Denominator exponent 
  
Context:  coordNum 
Acceptable Values:  positive even integer 
Default Value:  12 
Description:  This number defines the 
 exponent for the switching function.
 
-   group2CenterOnly  
 Use only group2's center of
    mass 
  
Context:  coordNum 
Acceptable Values:  boolean 
Default Value:  off 
Description:  If this option is on, only contacts between each atoms in group1 and the center of mass of     group2 are calculated (by default, the sum extends over all pairs of atoms in group1 and group2).
If group2 is a dummyAtom, this option is set to yes by default.
 
-     tolerance  
 Pairlist control 
  
Context:  coordNum 
Acceptable Values:  decimal 
Default Value:  0.0 
Description:  This controls the pairlist feature, dictating the minimum value for each summation element in Eq. 37 such that the pair that contributed the summation element is included in subsequent simulation timesteps until the next pairlist recalculation. For most applications, this value should be small (eg. 0.001) to avoid missing important contributions to the overall sum. Higher values will improve performance by reducing the number of pairs that contribute to the sum. Values above 1 will exclude all possible pair interactions. Similarly, values below 0 will never exclude a pair from consideration. To ensure continuous forces, Eq. 37 is further modified by subtracting the tolerance and then rescaling so that each pair covers the range 
.
  
 
-     pairListFrequency  
 Pairlist regeneration frequency 
  
Context:  coordNum 
Acceptable Values:  positive integer 
Default Value:  100 
Description:  This controls the pairlist feature, dictating how many steps are taken between regenerating pairlists if the tolerance is greater than 0.
  
  
 
This component returns a dimensionless number, which ranges from
approximately 0 (all interatomic distances are much larger than the
cutoff) to 
 (all distances
are less than the cutoff), or 
 if
group2CenterOnly is used.  For performance reasons, at least
one of group1 and group2 should be of limited size or group2CenterOnly should be used: the cost of the loop over all pairs grows as 
.
Setting 
 ameliorates this to some degree, although every pair is still checked to regenerate the pairlist.
selfCoordNum: coordination number between atoms within a group.
The selfCoordNum {...} block defines
a coordination number similarly to the component coordNum,
but the function is summed over atom pairs within group1:
  | 
(38) | 
 
The keywords accepted by selfCoordNum are a subset of
those accepted by coordNum, namely group1
(here defining all of the atoms to be considered),
cutoff, expNumer, and expDenom.
List of keywords (see also 9.3.5 for additional options):
  
- 
  group1: see definition of group1 in sec. 9.3.1 (coordNum component)
 
- 
  cutoff: see definition of cutoff in sec. 9.3.1 (coordNum component)
 
- 
  cutoff3: see definition of cutoff3 in sec. 9.3.1 (coordNum component)
 
- 
  expNumer: see definition of expNumer in sec. 9.3.1 (coordNum component)
 
- 
  expDenom: see definition of expDenom in sec. 9.3.1 (coordNum component)
 
- 
  tolerance: see definition of tolerance in sec. 9.3.1 (coordNum component)
 
- 
  pairListFrequency: see definition of pairListFrequency in sec. 9.3.1 (coordNum component)
  
 
This component returns a dimensionless number, which ranges from
approximately 0 (all interatomic distances much larger than the
cutoff) to 
 (all
distances within the cutoff).  For performance reasons,
group1 should be of limited size, because the cost of the
loop over all pairs grows as 
.
hBond: hydrogen bond between two atoms.
The hBond {...} block defines a hydrogen
bond, implemented as a coordination number (eq. 37)
between the donor and the acceptor atoms.  Therefore, it accepts the
same options cutoff (with a different default value of
3.3 Å), expNumer (with a default value of 6) and
expDenom (with a default value of 8).  Unlike
coordNum, it requires two atom numbers, acceptor and
donor, to be defined.  It returns an adimensional number,
with values between 0 (acceptor and donor far outside the cutoff
distance) and 1 (acceptor and donor much closer than the cutoff).
List of keywords (see also 9.3.5 for additional options):
  
- acceptor  
 Number of the acceptor atom 
  
Context:  hBond 
Acceptable Values:  positive integer 
Description:  Number that uses the same convention as atomNumbers.
 
- 
  donor: analogous to acceptor
 
- 
  cutoff: see definition of cutoff in sec. 9.3.1 (coordNum component)
  Note: default value is 3.3 Å.
 
- 
  expNumer: see definition of expNumer in sec. 9.3.1 (coordNum component)
  Note: default value is 6.
 
- 
  expDenom: see definition of expDenom in sec. 9.3.1 (coordNum component)
  Note: default value is 8.
  
 
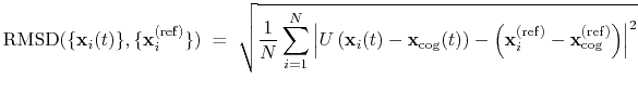
rmsd: root mean square displacement (RMSD) from reference positions.
The block rmsd {...} defines the root mean square replacement
(RMSD) of a group of atoms with respect to a reference structure.  For
each set of coordinates 
, the colvar component rmsd calculates the
optimal rotation
that best superimposes the coordinates 
 onto a
set of reference coordinates 
.
Both the current and the reference coordinates are centered on their
centers of geometry, 
 and
.  The root mean square
displacement is then defined as:
  | 
(39) | 
 
The optimal rotation
is calculated within the formalism developed in
reference [26], which guarantees a continuous
dependence of
with respect to 
.
List of keywords (see also 9.3.5 for additional options):
  
-   atoms  
 Atom group 
  
Context:  rmsd 
Acceptable Values:  atoms {...} block 
Description:  Defines the group of atoms of which the RMSD should be calculated.
    Optimal fit options (such as refPositions and
    rotateReference) should typically NOT be set within this
    block. Exceptions to this rule are the special cases discussed in
    the Advanced usage paragraph below.
    
 
-   refPositions  
 Reference coordinates 
  
Context:  rmsd 
Acceptable Values:  space-separated list of (x, y, z) triplets 
Description:  This option (mutually exclusive with refPositionsFile) sets the reference coordinates for RMSD calculation, and uses these to compute the roto-translational fit.  
    It is functionally equivalent to the option refPositions (see 9.4.2) in the atom group definition, which also supports more advanced fitting options.
    
 
-   refPositionsFile  
 Reference coordinates file 
  
Context:  rmsd 
Acceptable Values:  UNIX filename 
Description:  This option (mutually exclusive with refPositions) sets the reference coordinates for RMSD calculation, and uses these to compute the roto-translational fit.  
    It is functionally equivalent to the option refPositionsFile (see 9.4.2) in the atom group definition, which also supports more advanced fitting options.
    
 
-   refPositionsCol  
 PDB column containing atom flags 
  
Context:  rmsd 
Acceptable Values:  O, B, X, Y, or Z 
Description:  If refPositionsFile is a PDB file that contains all the atoms in the topology, this option may be provided to set which PDB field is used to flag the reference coordinates for atoms.
  
 
-   refPositionsColValue  
 Atom selection flag in the PDB column 
  
Context:  rmsd 
Acceptable Values:  positive decimal 
Description:  If defined, this value identifies in the PDB column
    refPositionsCol of the file refPositionsFile
    which atom positions are to be read.  Otherwise, all positions
    with a non-zero value are read.
  
 
This component returns a positive real number (in Å).
Advanced usage of the rmsd component.
In the standard usage as described above, the rmsd component
calculates a minimum RMSD, that is, current coordinates are optimally
fitted onto the same reference coordinates that are used to 
compute the RMSD value. The fit itself is handled by the atom group
object, whose parameters are automatically set by the rmsd
component.
For very specific applications, however, it may be
useful to control the fitting process separately from the definition
of the reference coordinates, to evaluate various types of
non-minimal RMSD values. This can be achieved by setting the
related options (refPositions, etc.) explicitly in the
atom group block. This allows for the following non-standard cases:
- applying the optimal translation, but no rotation
(rotateReference off), to bias or restrain the shape and
orientation, but not the position of the atom group;
 
- applying the optimal rotation, but no translation
(translateReference off), to bias or restrain the shape and
position, but not the orientation of the atom group;
 
- disabling the application of optimal roto-translations, which
lets the RMSD component decribe the deviation of atoms
from fixed positions in the laboratory frame: this allows for custom
positional restraints within the Colvars module;
 
- fitting the atomic positions to different reference coordinates
than those used in the RMSD calculation itself;
 
- applying the optimal rotation and/or translation from a separate
atom group, defined through fittingGroup: the RMSD then
reflects the deviation from reference coordinates in a separate, moving
reference frame.
 
Path collective variables
An application of the rmsd component is "path collective variables",[12]
which are implemented as Tcl-scripted combinations or RMSDs.
The implementation is available as file colvartools/pathCV.tcl, and
an example is provided in file examples/10_pathCV.namd of the Colvars public repository.
eigenvector: projection of the atomic  coordinates on a vector.
The block eigenvector {...} defines the projection of the coordinates
of a group of atoms (or more precisely, their deviations from the
reference coordinates) onto a vector in 
, where 
 is the
number of atoms in the group. The computed quantity is the
total projection:
  | 
(40) | 
 
where, as in the rmsd component, 
 is the optimal rotation
matrix, 
 and
 are the centers of
geometry of the current and reference positions respectively, and
 are the components of the vector for each atom.
Example choices for 
 are an eigenvector
of the covariance matrix (essential mode), or a normal
mode of the system.  It is assumed that 
:
otherwise, the Colvars module centers the 
automatically when reading them from the configuration.
List of keywords (see also 9.3.5 for additional options):
  
- 
  atoms: see definition of atoms in sec. 9.3.1 (rmsd component)
 
- 
  refPositions: see definition of refPositions in sec. 9.3.1 (rmsd component)
 
- 
  refPositionsFile: see definition of refPositionsFile in sec. 9.3.1 (rmsd component)
 
- 
  refPositionsCol: see definition of refPositionsCol in sec. 9.3.1 (rmsd component)
 
- 
  refPositionsColValue: see definition of refPositionsColValue in sec. 9.3.1 (rmsd component)
 
- vector  
 Vector components 
  
Context:  eigenvector 
Acceptable Values:  space-separated list of (x, y, z) triplets 
Description:  This option (mutually exclusive with vectorFile) sets the values of the vector components.
 
- vectorFile  
 file containing vector components 
  
Context:  eigenvector 
Acceptable Values:  UNIX filename 
Description:  This option (mutually exclusive with vector) sets the name of a coordinate file containing the vector components; the file is read according to the same format used for refPositionsFile.
    For a PDB file specifically, the components are read from the X, Y and Z fields.
      Note: The PDB file has limited precision and fixed-point numbers: in some cases, the vector components may not be accurately represented; a XYZ file should be used instead, containing floating-point numbers.
  
 
- vectorCol  
 PDB column used to flag participating atoms 
  
Context:  eigenvector 
Acceptable Values:  O or B 
Description:  Analogous to atomsCol.
 
- vectorColValue  
 Value used to flag participating atoms in the PDB file 
  
Context:  eigenvector 
Acceptable Values:  positive decimal 
Description:  Analogous to atomsColValue.
 
- differenceVector  
 The 
-dimensional vector is the difference between vector and refPositions 
  
Context:  eigenvector 
Acceptable Values:  boolean 
Default Value:  off 
Description:  If this option is on, the numbers provided by vector or vectorFile are interpreted as another set of positions, 
: the vector 
 is then defined as 
.
This allows to conveniently define a colvar 
 as a projection on the linear transformation between two sets of positions, ``A'' and ``B''.
For convenience, the vector is also normalized so that 
 when the atoms are at the set of positions ``A'' and 
 at the set of positions ``B''.
  
 
This component returns a number (in Å), whose value ranges between
the smallest and largest absolute positions in the unit cell during
the simulations (see also distanceZ).  Due to the
normalization in eq. 40, this range does not
depend on the number of atoms involved.
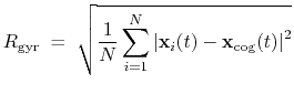
gyration: radius of gyration of a group  of atoms.
The block gyration {...} defines the
parameters for calculating the radius of gyration of a group of atomic
positions 
 with respect to their center of geometry,
:
  | 
(41) | 
 
This component must contain one atoms {...} block to
define the atom group, and returns a positive number, expressed in
Å.
List of keywords (see also 9.3.5 for additional options):
  
- 
  atoms: see definition of atoms in sec. 9.3.1 (rmsd component)
  
 
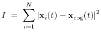
inertia: total moment of inertia of a group  of atoms.
The block inertia {...} defines the
parameters for calculating the total moment of inertia of a group of atomic
positions 
 with respect to their center of geometry,
:
  | 
(42) | 
 
Note that all atomic masses are set to 1 for simplicity.
This component must contain one atoms {...} block to
define the atom group, and returns a positive number, expressed in
Å
.
List of keywords (see also 9.3.5 for additional options):
  
- 
  atoms: see definition of atoms in sec. 9.3.1 (rmsd component)
  
 
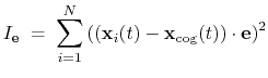
inertiaZ: total moment of inertia of a group of atoms around a chosen axis.
The block inertiaZ {...} defines the
parameters for calculating the component along the axis 
 of the moment of inertia of a group of atomic
positions 
 with respect to their center of geometry,
:
  | 
(43) | 
 
Note that all atomic masses are set to 1 for simplicity.
This component must contain one atoms {...} block to
define the atom group, and returns a positive number, expressed in
Å
.
List of keywords (see also 9.3.5 for additional options):
  
- 
  atoms: see definition of atoms in sec. 9.3.1 (rmsd component)
 
- axis  
 Projection axis (Å) 
  
Context:  inertiaZ 
Acceptable Values:  (x, y, z) triplet 
Default Value:  (0.0, 0.0, 1.0) 
Description:  The three components of this vector define (when normalized) the
    projection axis 
.
  
 
orientation: orientation from reference coordinates.
The block orientation {...} returns the
same optimal rotation used in the rmsd component to
superimpose the coordinates 
 onto a set of
reference coordinates 
.  Such
component returns a four dimensional vector 
, with 
; this quaternion
expresses the optimal rotation 
 according to the formalism in
reference [26].  The quaternion 
can also be written as 
, where 
 is the angle and
 the normalized axis of rotation; for example, a rotation
of 90
 around the 
 axis is expressed as
``(0.707, 0.0, 0.0, 0.707)''.  The script
quaternion2rmatrix.tcl provides Tcl functions for converting
to and from a 
 rotation matrix in a format suitable for
usage in VMD.
As for the component rmsd, the available options are atoms, refPositionsFile, refPositionsCol and refPositionsColValue,  and refPositions.
Note: refPositionsand refPositionsFile define the set of positions from which the optimal rotation is calculated, but this rotation is not applied to the coordinates of the atoms involved: it is used instead to define the variable itself.
List of keywords (see also 9.3.5 for additional options):
  
- 
  atoms: see definition of atoms in sec. 9.3.1 (rmsd component)
 
- 
  refPositions: see definition of refPositions in sec. 9.3.1 (rmsd component)
 
- 
  refPositionsFile: see definition of refPositionsFile in sec. 9.3.1 (rmsd component)
 
- 
  refPositionsCol: see definition of refPositionsCol in sec. 9.3.1 (rmsd component)
 
- 
  refPositionsColValue: see definition of refPositionsColValue in sec. 9.3.1 (rmsd component)
 
- closestToQuaternion  
 Reference rotation 
  
Context:  orientation 
Acceptable Values:  ``(q0, q1, q2, q3)'' quadruplet 
Default Value:  (1.0, 0.0, 0.0, 0.0) (``null'' rotation) 
Description:  Between the two equivalent quaternions 
 and
    
, the closer to (1.0, 0.0, 0.0,
      0.0) is chosen.  This simplifies the visualization of the
    colvar trajectory when sampled values are a smaller subset of all
    possible rotations.  Note: this only affects the
      output, never the dynamics.
 
Tip: stopping the rotation of a protein.  To stop the
rotation of an elongated macromolecule in solution (and use an
anisotropic box to save water molecules), it is possible to define a
colvar with an orientation component, and restrain it throuh
the harmonic bias around the identity rotation, (1.0,
  0.0, 0.0, 0.0).  Only the overall orientation of the macromolecule
is affected, and not its internal degrees of freedom.  The user
should also take care that the macromolecule is composed by a single
chain, or disable wrapAll otherwise.
orientationAngle: angle of rotation from reference coordinates.
The block orientationAngle {...} accepts the same base options as
the component orientation: atoms, refPositions, refPositionsFile, refPositionsCol and refPositionsColValue.
The returned value is the angle of rotation 
 between the current and the reference positions.
This angle is expressed in degrees within the range [0
:180
].
List of keywords (see also 9.3.5 for additional options):
  
- 
  atoms: see definition of atoms in sec. 9.3.1 (rmsd component)
 
- 
  refPositions: see definition of refPositions in sec. 9.3.1 (rmsd component)
 
- 
  refPositionsFile: see definition of refPositionsFile in sec. 9.3.1 (rmsd component)
 
- 
  refPositionsCol: see definition of refPositionsCol in sec. 9.3.1 (rmsd component)
 
- 
  refPositionsColValue: see definition of refPositionsColValue in sec. 9.3.1 (rmsd component)
 
orientationProj: cosine of the angle of rotation from reference coordinates.
The block orientationProj {...} accepts the same base options as
the component orientation: atoms, refPositions, refPositionsFile, refPositionsCol and refPositionsColValue.
The returned value is the cosine of the angle of rotation 
 between the current and the reference positions.
The range of values is [-1:1].
List of keywords (see also 9.3.5 for additional options):
  
- 
  atoms: see definition of atoms in sec. 9.3.1 (rmsd component)
 
- 
  refPositions: see definition of refPositions in sec. 9.3.1 (rmsd component)
 
- 
  refPositionsFile: see definition of refPositionsFile in sec. 9.3.1 (rmsd component)
 
- 
  refPositionsCol: see definition of refPositionsCol in sec. 9.3.1 (rmsd component)
 
- 
  refPositionsColValue: see definition of refPositionsColValue in sec. 9.3.1 (rmsd component)
 
spinAngle: angle of rotation around a given axis.
The complete rotation described by orientation can optionally be decomposed into two sub-rotations: one is a ``spin'' rotation around e, and the other a ``tilt'' rotation around an axis orthogonal to e.
The component spinAngle measures the angle of the ``spin'' sub-rotation around e.
List of keywords (see also 9.3.5 for additional options):
  
- 
  atoms: see definition of atoms in sec. 9.3.1 (rmsd component)
 
- 
  refPositions: see definition of refPositions in sec. 9.3.1 (rmsd component)
 
- 
  refPositionsFile: see definition of refPositionsFile in sec. 9.3.1 (rmsd component)
 
- 
  refPositionsCol: see definition of refPositionsCol in sec. 9.3.1 (rmsd component)
 
- 
  refPositionsColValue: see definition of refPositionsColValue in sec. 9.3.1 (rmsd component)
 
-   axis  
 Special rotation axis (Å) 
  
Context:  tilt 
Acceptable Values:  (x, y, z) triplet 
Default Value:  (0.0, 0.0, 1.0) 
Description:  The three components of this vector define (when normalized) the special rotation axis used to calculate the tilt and spinAngle components.
  
 
The component spinAngle returns an angle (in degrees) within the periodic interval 
.  
Note: the value of spinAngle is a continuous function almost everywhere, with the exception of configurations with the corresponding ``tilt'' angle equal to 180
 (i.e. the tilt component is equal to 
): in those cases, spinAngle is undefined.  If such configurations are expected, consider defining a tilt colvar using the same axis e, and restraining it with a lower wall away from 
.
tilt: cosine of the rotation orthogonal to a given axis.
The component tilt measures the cosine of the angle of the ``tilt'' sub-rotation, which combined with the ``spin'' sub-rotation provides the complete rotation of a group of atoms.
The cosine of the tilt angle rather than the tilt angle itself is implemented, because the latter is unevenly distributed even for an isotropic system: consider as an analogy the angle 
 in the spherical coordinate system.
The component tilt relies on the same options as spinAngle, including the definition of the axis e.
The values of tilt are real numbers in the interval 
: the value 
 represents an orientation fully parallel to e (tilt angle = 0
), and the value 
 represents an anti-parallel orientation.
List of keywords (see also 9.3.5 for additional options):
  
- 
  atoms: see definition of atoms in sec. 9.3.1 (rmsd component)
 
- 
  refPositions: see definition of refPositions in sec. 9.3.1 (rmsd component)
 
- 
  refPositionsFile: see definition of refPositionsFile in sec. 9.3.1 (rmsd component)
 
- 
  refPositionsCol: see definition of refPositionsCol in sec. 9.3.1 (rmsd component)
 
- 
  refPositionsColValue: see definition of refPositionsColValue in sec. 9.3.1 (rmsd component)
 
- 
  axis: see definition of axis in sec. 9.3.1 (spinAngle component)
  
 
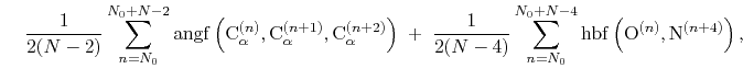
alpha: 
-helix content of a protein segment.
The block alpha {...} defines the
parameters to calculate the helical content of a segment of protein
residues.  The 
-helical content across the 
 residues
 to 
 is calculated by the formula:
  | 
  | 
  | 
(44) | 
  | 
  | 
  | 
  | 
 
where the score function for the 
 angle is defined as: 
  | 
(45) | 
 
and the score function for the 
 hydrogen bond is defined through a hBond
colvar component on the same atoms.
List of keywords (see also 9.3.5 for additional options):
  
This component returns positive values, always comprised between 0
(lowest 
-helical score) and 1 (highest 
-helical
score).
dihedralPC: protein dihedral pricipal component
The block dihedralPC {...} defines the
parameters to calculate the projection of backbone dihedral angles within
a protein segment onto a dihedral principal component, following
the formalism of dihedral principal component analysis (dPCA) proposed by
Mu et al.[70] and documented in detail by Altis et
al.[2].
Given a peptide or protein segment of 
 residues, each with Ramachandran
angles 
 and 
, dPCA rests on a variance/covariance analysis
of the 
 variables 
. Note that angles 
 and 
have little impact on chain conformation, and are therefore discarded,
following the implementation of dPCA in the analysis software Carma.[35]
For a given principal component (eigenvector) of coefficients
,
the projection of the current backbone conformation is:
  | 
(46) | 
 
dihedralPC expects the same parameters as the alpha
component for defining the relevant residues (residueRange
and psfSegID) in addition to the following:
List of keywords (see also 9.3.5 for additional options):
  
- 
  residueRange: see definition of residueRange in sec. 9.3.1 (alpha component)
 
- 
  psfSegID: see definition of psfSegID in sec. 9.3.1 (alpha component)
 
- vectorFile  
 File containing dihedral PCA eigenvector(s) 
  
Context:  dihedralPC 
Acceptable Values:  file name 
Description:  A text file containing the coefficients of dihedral PCA eigenvectors on the
    cosine and sine coordinates. The vectors should be arranged in columns,
    as in the files output by Carma.[35]
 
- vectorNumber  
 File containing dihedralPCA eigenvector(s) 
  
Context:  dihedralPC 
Acceptable Values:  positive integer 
Description:  Number of the eigenvector to be used for this component.
  
 
 
Shared keywords for all components
The following options can be used for any of the above colvar components in order to obtain a polynomial combination or any user-supplied function provided by scriptedFunction (see 9.3.5).
- name  
 Name of this component 
  
Context:  any component 
Acceptable Values:  string 
Default Value:  type of component + numeric id 
Description:  The name is an unique case-sensitive string which allows the
    Colvars module to identify this component. This is useful, for example,
    when combining multiple components via a scriptedFunction.
    It also defines the variable name representing the component's value in a customFunction (see 9.3.6) expression.
 
- scalable  
 Attempt to calculate this component in parallel? 
  
Context:  any component 
Acceptable Values:  boolean 
Default Value:  on, if available 
Description:  If set to on (default), the Colvars module will attempt to calculate this component in parallel to reduce overhead.
    Whether this option is available depends on the type of component: currently supported are distance, distanceZ, distanceXY, distanceVec, distanceDir, angle and dihedral.
    This flag influences computational cost, but does not affect numerical results: therefore, it should only be turned off for debugging or testing purposes.
  
 
Periodic components
The following components returns
real numbers that lie in a periodic interval:
- dihedral: torsional angle between four groups;
 
- spinAngle: angle of rotation around a predefined axis
  in the best-fit from a set of reference coordinates.
 
In certain conditions, distanceZ can also be periodic, namely
when periodic boundary conditions (PBCs) are defined in the simulation
and distanceZ's axis is parallel to a unit cell vector.
In addition, a custom or scripted scalar colvar may be periodic
depending on its user-defined expression. It will only be treated as such by
the Colvars module if the period is specified using the period keyword,
while wrapAround is optional.
The following keywords can be used within periodic components, or within custom variables (9.3.6), or wthin scripted variables 9.3.7).
- period  
 Period of the component 
  
Context:  distanceZ, custom colvars 
Acceptable Values:  positive decimal 
Default Value:  0.0 
Description:  Setting this number enables the treatment of distanceZ as
    a periodic component: by default, distanceZ is not
    considered periodic.  The keyword is supported, but irrelevant
    within dihedral or spinAngle, because their
    period is always 360 degrees.
 
- wrapAround  
 Center of the wrapping interval for periodic variables 
  
Context:  distanceZ, dihedral, spinAngle, custom colvars 
Acceptable Values:  decimal 
Default Value:  0.0 
Description:  By default, values of the periodic components are centered around zero, ranging from 
 to 
, where 
 is the period.
    Setting this number centers the interval around this value.
    This can be useful for convenience of output, or to set the walls for a harmonicWalls in an order that would not otherwise be allowed.
 
Internally, all differences between two values of a periodic colvar
follow the minimum image convention: they are calculated based on
the two periodic images that are closest to each other.
Note: linear or polynomial combinations of periodic components (see 9.3.5) may become meaningless when components cross the periodic boundary.  Use such combinations carefully: estimate the range of possible values of each component in a given simulation, and make use of wrapAround to limit this problem whenever possible.
Non-scalar components
When one of the following components are used, the defined colvar returns a value that is not a scalar number:
- distanceVec: 3-dimensional vector of the distance
  between two groups;
 
- distanceDir: 3-dimensional unit vector of the distance
  between two groups;
 
- orientation: 4-dimensional unit quaternion representing
  the best-fit rotation from a set of reference coordinates.
 
The distance between two 3-dimensional unit vectors is computed as the
angle between them.  The distance between two quaternions is computed
as the angle between the two 4-dimensional unit vectors: because the
orientation represented by 
 is the same as the one
represented by 
, distances between two quaternions are
computed considering the closest of the two symmetric images.
Non-scalar components carry the following restrictions:
- Calculation of total forces (outputTotalForce option)
  is currently not implemented.
 
- Each colvar can only contain one non-scalar component.
 
- Binning on a grid (abf, histogram and
  metadynamics with useGrids enabled) is currently
  not implemented for colvars based on such components.
 
Note: while these restrictions apply to individual colvars based
  on non-scalar components, no limit is set to the number of scalar
  colvars.  To compute multi-dimensional histograms and PMFs, use sets
  of scalar colvars of arbitrary size.
Calculating total forces
In addition to the restrictions due to the type of value computed (scalar or non-scalar),
a final restriction can arise when calculating total force
(outputTotalForce option or application of a abf
bias).  total forces are available currently only for the following
components: distance, distanceZ,
distanceXY, angle, dihedral, rmsd,
eigenvector and gyration.
Linear and polynomial combinations of components
To extend the set of possible definitions of colvars 
, multiple components
 can be summed with the formula:
![$\displaystyle \xi(\mathbf{r}) = \sum_i c_i [q_i(\mathbf{r})]^{n_i}$](img366.png)  | 
(47) | 
 
where each component appears with a unique coefficient 
 (1.0 by
default) the positive integer exponent 
 (1 by default).
Any set of components can be combined within a colvar, provided that
they return the same type of values (scalar, unit vector, vector, or
quaternion).  By default, the colvar is the sum of its components.
Linear or polynomial combinations (following
equation (48)) can be obtained by setting the
following parameters, which are common to all components:
Example: To define the average of a colvar across
different parts of the system, simply define within the same colvar
block a series of components of the same type (applied to different
atom groups), and assign to each component a componentCoeff
of 
.
Custom functions
Collective variables may be defined by specifying a custom function as an analytical
expression such as cos(x) + y^2.
The expression is parsed by the Lepton expression parser (written by Peter Eastman),
which produces efficient evaluation routines for the function itself as well as its derivatives.
The expression may use the collective variable components as variables, refered to as their name string.
Scalar elements of vector components may be accessed by appending a 1-based index to their name.
When implementing generic functions of Cartesian coordinates rather
than functions of existing components, the cartesian component
may be particularly useful.
A scalar-valued custom variable may be manually defined as periodic by providing
the keyword period, and the optional keyword wrapAround, with the
same meaning as in periodic components (see 9.3.3 for details).
A vector variable may be defined by specifying the customFunction parameter several times: each expression defines one scalar element of the vector colvar.
This is illustrated in the example below.
colvar {
  name custom
  # A 2-dimensional vector function of a scalar x and a 3-vector r
  customFunction cos(x) * (r1 + r2 + r3)
  customFunction sqrt(r1 * r2)
  distance {
    name x
    group1 { atomNumbers 1 }
    group2 { atomNumbers 50 }
  }
  distanceVec {
    name r
    group1 { atomNumbers 10 11 12 }
    group2 { atomNumbers  20 21 22 }
  }
}
Scripted functions
When scripting is supported (default in NAMD),
a colvar may be defined as a scripted function of its components,
rather than a linear or polynomial combination.
When implementing generic functions of Cartesian coordinates rather
than functions of existing components, the cartesian component
may be particularly useful.
A scalar-valued scripted variable may be manually defined as periodic by providing
the keyword period, and the optional keyword wrapAround, with the
same meaning as in periodic components (see 9.3.3 for details).
An example of elaborate scripted colvar is given in example 10, in the
form of path-based collective variables as defined by Branduardi et al[12]
(9.3.1).
-    scriptedFunction  
 Compute colvar as a scripted function of its components 
  
Context:  colvar 
Acceptable Values:  string 
Description:  If this option is specified, the colvar will be computed as a
    scripted function of the values of its components.
    To that effect, the user should define two Tcl procedures:
    calc_
scriptedFunction
 and calc_
scriptedFunction
_gradient,
    both accepting as many parameters as the colvar has components.
    Values of the components will be passed to those procedures in the
    order defined by their sorted name strings. Note that if all
    components are of the same type, their default names are sorted in the
    order in which they are defined, so that names need only be specified
    for combinations of components of different types.
    calc_
scriptedFunction
 should return one value of 
    type 
scriptedFunctionType
, corresponding to the colvar value.
    calc_
scriptedFunction
_gradient should return a Tcl list
    containing the derivatives of the function with respect to each
    component. 
    If both the function and some of the components are vectors, the gradient
    is really a Jacobian matrix that should be passed as a linear vector in
    row-major order, i.e. for a function 
: 
.
  
 
- scriptedFunctionType  
 Type of value returned by the scripted colvar 
  
Context:  colvar 
Acceptable Values:  string 
Default Value:  scalar 
Description:  If a colvar is defined as a scripted function, its type is not constrained by
    the types of its components. With this flag, the user may specify whether the
    colvar is a scalar or one of the following vector types: vector3
    (a 3D vector), unit_vector3 (a normalized 3D vector), or
    unit_quaternion (a normalized quaternion), or vector
    (a vector whose size is specified by scriptedFunctionVectorSize).
    Non-scalar values should be passed as space-separated lists.
 
- scriptedFunctionVectorSize  
 Dimension of the vector value of a scripted colvar 
  
Context:  colvar 
Acceptable Values:  positive integer 
Description:  This parameter is only valid when scriptedFunctionType is
    set to vector. It defines the vector length of the colvar value
    returned by the function.
 
 
Defining grid parameters
Many algorithms require the definition of boundaries and/or characteristic spacings that can be used to define discrete ``states'' in the collective variable, or to combine variables with very different units.
The parameters described below offer a way to specify these parameters only once for each variable, while using them multiple times in restraints, time-dependent biases or analysis methods.
-   width  
 Unit of the variable, or grid spacing 
  
Context:  colvar 
Acceptable Values:  positive decimal 
Default Value:  1.0 
Description:  This number defines the effective unit of measurement for the collective variable, and is used by the biasing methods for the following purposes.
    Harmonic (9.5.4), harmonic walls (9.5.6) and linear restraints (9.5.7) use it to set the physical unit of the force constant, which is useful for multidimensional restraints involving multiple variables with very different units (for examples, 
 or degrees 
) with a single, scaled force constant.
    The values of the scaled force constant in the units of each variable are printed at initialization time. 
    Histograms (9.5.9), ABF (9.5.1) and metadynamics (9.5.3) all use this number as the initial choice for the grid spacing along this variable: for this reason, width should generally be no larger than the standard deviation of the colvar in an unbiased simulation.
    Unless it is required to control the spacing, it is usually simplest to keep the default value of 1, so that restraint force constants are provided with their full physical unit.
  
 
-   lowerBoundary  
 Lower boundary of the colvar 
  
Context:  colvar 
Acceptable Values:  decimal 
Description:  Defines the lowest end of the interval of ``relevant'' values for the colvar.
    This number can be either a true physical boundary, or a user-defined number.  
    Together with upperBoundary and width, it is used to define a grid of values along the variable (not available for variables with vector values, 9.3.4).
    This option does not affect dynamics: to confine a colvar within a certain interval, use a harmonicWalls bias.
 
-  upperBoundary  
 Upper boundary of the colvar 
  
Context:  colvar 
Acceptable Values:  decimal 
Description:  Similarly to lowerBoundary, defines the highest possible or allowed value.
 
- hardLowerBoundary  
 Whether the lower boundary is the physical lower limit 
  
Context:  colvar 
Acceptable Values:  boolean 
Default Value:  off 
Description:  This option does not affect simulation results, but enables some internal optimizations.
    Depending on its mathematical definition, a colvar may have ``natural'' boundaries: for example, a distance colvar has a ``natural'' lower boundary at 0.  Setting this option instructs the Colvars module that the user-defined lower boundary is ``natural''.
See Section 9.3.1 for the physical ranges of values of each component.
 
- hardUpperBoundary  
 Whether the upper boundary is the physical upper limit of the colvar's values 
  
Context:  colvar 
Acceptable Values:  boolean 
Default Value:  off 
Description:  Analogous to hardLowerBoundary.
 
-  expandBoundaries  
 Allow to expand the two boundaries if needed 
  
Context:  colvar 
Acceptable Values:  boolean 
Default Value:  off 
Description:  If defined, biasing and analysis methods may keep their own copies
    of lowerBoundary and upperBoundary, and expand
    them to accommodate values that do not fit in the initial range.
    Currently, this option is used by the metadynamics bias
    (9.5.3) to keep all of its hills fully within
    the grid.  This option cannot be used when
      the initial boundaries already span the full period of a periodic
      colvar.
 
Trajectory output
Extended Lagrangian
The following options enable extended-system
dynamics, where a colvar is coupled to an additional degree of freedom 
(fictitious particle) by a harmonic spring.
All biasing and confining forces are then applied to the extended degree
of freedom. The ``actual'' geometric colvar (function of Cartesian 
coordinates) only feels the force from the harmonic spring.
This is particularly useful when combined with an ABF bias (9.5.1)
to perform eABF simulations (9.5.2).
- extendedLagrangian  
 Add extended degree of freedom 
  
Context:  colvar 
Acceptable Values:  boolean 
Default Value:  off 
Description:  Adds a fictitious particle to be coupled to the colvar by a harmonic
    spring. The fictitious mass and the force constant of the coupling
    potential are derived from the parameters extendedTimeConstant
    and extendedFluctuation, described below. Biasing forces on the
    colvar are applied to this fictitious particle, rather than to the
    atoms directly.  This implements the extended Lagrangian formalism
    used in some metadynamics simulations [45].
    The energy associated with the extended degree of freedom is reported
    under the MISC title in NAMD's energy output.
    
 
- extendedFluctuation  
 Standard deviation between the colvar and the fictitious
    particle (colvar unit) 
  
Context:  colvar 
Acceptable Values:  positive decimal 
Description:  Defines the spring stiffness for the extendedLagrangian
    mode, by setting the typical deviation between the colvar and the extended
    degree of freedom due to thermal fluctuation.
    The spring force constant is calculated internally as 
,
    where 
 is the value of extendedFluctuation.
 
- extendedTimeConstant  
 Oscillation period of the fictitious particle (fs) 
  
Context:  colvar 
Acceptable Values:  positive decimal 
Default Value:  200 
Description:  Defines the inertial mass of the fictitious particle, by setting the
    oscillation period of the harmonic oscillator formed by the fictitious
    particle and the spring. The period
    should be much larger than the MD time step to ensure accurate integration
    of the extended particle's equation of motion.
    The fictitious mass is calculated internally as 
,
    where 
 is the period and 
 is the typical fluctuation (see above).
 
- extendedTemp  
 Temperature for the extended degree of freedom (K) 
  
Context:  colvar 
Acceptable Values:  positive decimal 
Default Value:  thermostat temperature 
Description:  Temperature used for calculating the coupling force constant of the
    extended variable (see extendedFluctuation) and, if needed, as a
    target temperature for extended Langevin dynamics (see
    extendedLangevinDamping). This should normally be left at its
    default value.
 
- extendedLangevinDamping  
 Damping factor for extended Langevin dynamics
    (ps
) 
  
Context:  colvar 
Acceptable Values:  positive decimal 
Default Value:  1.0 
Description:  If this is non-zero, the extended degree of freedom undergoes Langevin dynamics
    at temperature extendedTemp. The friction force is minus
    extendedLangevinDamping times the velocity. This is useful because
    the extended dynamics coordinate may heat up in the transient
    non-equilibrium regime of ABF. Use moderate damping values, to limit
    viscous friction (potentially slowing down diffusive sampling) and stochastic
    noise (increasing the variance of statistical measurements). In
    doubt, use the default value.
 
Backward-compatibility
- subtractAppliedForce  
 Do not include biasing forces in the total force for this colvar 
  
Context:  colvar 
Acceptable Values:  boolean 
Default Value:  off 
Description:  If the colvar supports total force calculation (see 9.3.4), all forces applied to this colvar by biases will be removed from the total force.
    This keyword allows to recover some of the ``system force'' calculation available in the Colvars module     before version 2016-08-10.
    Please note that removal of all other external forces (including biasing forces applied to a         different colvar) is no longer supported, due to changes in the underlying simulation engines (primarily NAMD).
    This option may be useful when continuing a previous simulation where the removal of external/applied forces is essential.
    For all new simulations, the use of this option is not recommended.
 
Statistical analysis
When the global keyword analysis is defined in the
configuration file, run-time calculations of statistical properties for
individual colvars can be performed.  At the moment, several types of
time correlation functions, running averages and running standard
deviations are available.
- corrFunc  
 Calculate a time correlation function? 
  
Context:  colvar 
Acceptable Values:  boolean 
Default Value:  off 
Description:  Whether or not a time correlaction function should be calculated
    for this colvar.
 
- corrFuncWithColvar  
 Colvar name for the correlation function 
  
Context:  colvar 
Acceptable Values:  string 
Description:  By default, the auto-correlation function (ACF) of this colvar,
    
, is calculated.  When this option is specified, the
    correlation function is calculated instead with another colvar,
    
, which must be of the same type (scalar, vector, or
    quaternion) as 
.
 
- corrFuncType  
 Type of the correlation function 
  
Context:  colvar 
Acceptable Values:  velocity, coordinate or
    coordinate_p2 
Default Value:  velocity 
Description:  With coordinate or velocity, the correlation
    function 
 = 
 is calculated between
    the variables 
 and 
, or their velocities.
    
 is the scalar product when calculated
    between scalar or vector values, whereas for quaternions it is the
    cosine between the two corresponding rotation axes.  With
    coordinate_p2, the second order Legendre polynomial,
    
, is used instead of the cosine.
 
- corrFuncNormalize  
 Normalize the time correlation function? 
  
Context:  colvar 
Acceptable Values:  boolean 
Default Value:  on 
Description:  If enabled, the value of the correlation function at 
 = 0
    is normalized to 1; otherwise, it equals to 
.
 
- corrFuncLength  
 Length of the time correlation function 
  
Context:  colvar 
Acceptable Values:  positive integer 
Default Value:  1000 
Description:  Length (in number of points) of the time correlation function.
 
- corrFuncStride  
 Stride of the time correlation function 
  
Context:  colvar 
Acceptable Values:  positive integer 
Default Value:  1 
Description:  Number of steps between two values of the time correlation function.
 
- corrFuncOffset  
 Offset of the time correlation function 
  
Context:  colvar 
Acceptable Values:  positive integer 
Default Value:  0 
Description:  The starting time (in number of steps) of the time correlation
    function (default: 
 = 0).  Note: the value at 
 = 0 is always
    used for the normalization.
 
- corrFuncOutputFile  
 Output file for the time correlation function 
  
Context:  colvar 
Acceptable Values:  UNIX filename 
Default Value:  
name
.corrfunc.dat 
Description:  The time correlation function is saved in this file.
 
- runAve  
 Calculate the running average and standard deviation 
  
Context:  colvar 
Acceptable Values:  boolean 
Default Value:  off 
Description:  Whether or not the running average and standard deviation should
    be calculated for this colvar.
 
- runAveLength  
 Length of the running average window 
  
Context:  colvar 
Acceptable Values:  positive integer 
Default Value:  1000 
Description:  Length (in number of points) of the running average window.
 
- runAveStride  
 Stride of the running average window values 
  
Context:  colvar 
Acceptable Values:  positive integer 
Default Value:  1 
Description:  Number of steps between two values within the running average window.
 
- runAveOutputFile  
 Output file for the running average and standard deviation 
  
Context:  colvar 
Acceptable Values:  UNIX filename 
Default Value:  
name
.runave.dat 
Description:  The running average and standard deviation are saved in this file.
 
 
 
 
 
 
 Next: Selecting atoms
 Up: Collective Variable-based Calculations (Colvars)
 Previous: General parameters
     Contents 
     Index 
http://www.ks.uiuc.edu/Research/namd/