next up previous contents index
Next: Interactive Molecular Dynamics (IMD) Up: User Defined Forces Previous: Targeted Molecular Dynamics (TMD)

Subsections


Steered Molecular Dynamics (SMD)

The SMD feature is independent from the harmonic constraints, although it follows the same ideas. In both SMD and harmonic constraints, one specifies a PDB file which indicates which atoms are 'tagged' as constrained. The PDB file also gives initial coordinates for the constraint positions. One also specifies such parameters as the force constant(s) for the constraints, and the velocity with which the constraints move.

There are two major differences between SMD and harmonic constraints:

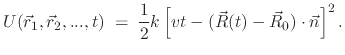
The center of mass of the SMD atoms will be harmonically constrained with force constant $ k$ (SMDk) to move with velocity $ v$ (SMDVel) in the direction $ \vec n$ (SMDDir). SMD thus results in the following potential being applied to the system:

$\displaystyle U(\vec r_1, \vec r_2, ..., t) \; = \; \frac{1}{2} k\left[vt - (\vec R(t) - \vec R_0)\cdot \vec n \right]^2.$ (33)

Here, $ t \equiv N_{ts} dt$ where $ N_{ts}$ is the number of elapsed timesteps in the simulation and $ dt$ is the size of the timestep in femtoseconds. Also, $ \vec R(t)$ is the current center of mass of the SMD atoms and $ R_0$ is the initial center of mass as defined by the coordinates in SMDFile. Vector $ \vec n$ is normalized by NAMD before being used.

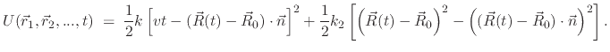
Optionally, one may also specify a transverse force constant $ k_2$ (SMDk2). The potential then becomes

$\displaystyle U(\vec r_1, \vec r_2, ..., t) \; = \; \frac{1}{2} k\left[vt - (\v...
... \vec R_0\right)^2 - \left((\vec R(t) - \vec R_0) \cdot \vec n\right)^2\right].$ (34)

In this case, the force constant $ k$ controls the potential parallel to the pulling direction $ \vec n$ , while the transverse force constant $ k_2$ controls the potential perpendicular to $ \vec n$ .

Output

NAMD provides output of the current SMD data. The frequency of output is specified by the SMDOutputFreq parameter in the configuration file. Every SMDOutputFreq timesteps NAMD will print the current timestep, current position of the center of mass of the restrained atoms, and the current force applied to the center of mass (in piconewtons, pN). The output line starts with word SMD

Parameters

The following parameters describe the parameters for the SMD feature of NAMD.


next up previous contents index
Next: Interactive Molecular Dynamics (IMD) Up: User Defined Forces Previous: Targeted Molecular Dynamics (TMD)
http://www.ks.uiuc.edu/Research/namd/